近日,意大利帕尔马大学的研究团队在cells杂志上发表了基于干细胞的再生疗法以及衍生产品对慢性阻塞性肺病(COPD)患者的疗效情况[1],这项研究分析了11项临床研究,共提取了371名COPD患者的数据。
结果表明:基于干细胞的再生疗法和衍生产品对COPD患者有着一定的治疗效果。

慢阻肺:全球第三大死因
COPD是一种常见的、可预防和可治疗的呼吸道疾病,但却无法根治,其特点是持续的呼吸道症状和气流受限。据世界卫生组织发布的【全球健康估计】,COPD目前是2019年全球第三大死亡原因,2019年报告的死亡人数为320万,预计在2030年成为全球前5大负担疾病。
慢性炎症、蛋白酶-抗蛋白酶失衡和氧化应激被认为是COPD的致病三联征。多种因素长期作用使得呼吸系统修复功能及防御机制下降,会出现进行性肺泡组织破坏、肺气肿和小气道纤维化,以及气体滞留和气流阻塞。
目前,COPD治疗主要从减少患者症状和预防恶化角度入手,吸入性支气管扩张剂是大多数COPD患者的药物支柱。然而,研究证实这些药物治疗均不会干扰疾病的进展性。换言之:当前治疗只可以改善患者症状,却无法有显著改善甚至是治愈。
众多研究者已提出并研究了再生疗法等创新治疗方案,目的是修复或再生呼吸系统受损的结构并改善功能。
2021年6月,国内针对慢性阻塞性肺病(COPD)的干细胞新药获得临床试验审批(IND)。据悉,此次获批的多中心注册临床试验计划由广州医科大学附属第一医院牵头开展,中日友好医院、上海交通大学附属瑞金医院、陆军军医大学附属西南医院等六家医疗机构共同参与完成。

荟萃分析证实:干细胞治疗慢阻肺有效果
这项研究在ClinicalTrials.gov网站中,以“再生OR间充质基质细胞OR脂肪AND治疗AND COPD或肺气肿“为关键词进行搜索,目的是检索与干细胞及其衍生产品治疗COPD相关的临床研究。

图片来自文献[1]
根据上述筛选流程图,最后共筛选出11项研究来进行成对荟萃分析,研究终点是评估基于干细胞的再生疗法和衍生产品治疗后患者肺功能情况、6分钟步行试验(6MWT)和二氧化碳分压(pCO2)变化等。根据这些指标来全面评估基于干细胞的再生疗法和衍生产品对COPD的治疗效果情况。
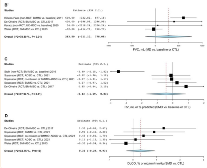
肺功能:与基线(干细胞治疗之前的情况)或对照组相比,使用基于干细胞的再生疗法和衍生产品的治疗,可以使得用力呼气量(FEV1)有显著改善趋势,但用力肺活量(FVC)未改善,也并未导致剩余体积(RV)显着降低,一氧化碳的扩散能力(DLCO)也没有显着变化。敏感性分析结果与上述结果一致。


[1]基于基线或CTL对FEV1(A)、FVC(B)、RV(C)和DLCO(D)影响的森林图
运动功能:与基线或对照组相比,接受基于干细胞疗法和衍生产品治疗的患者的6MWT有显着改善(p<0.01)。
血气分析:与基线或对照组相比,基于干细胞的再生疗法没有显着调节pCO2的作用,MSC衍生产品对pCO2数据的影响未见报告。
综上所述:基于干细胞的再生疗法及其衍生产品的治疗可以显着提高COPD患者的运动能力,并呈现FEV1显着改善的趋势,但与基线或对照组相比,其他肺功能参没有显示出显着差异。
根据Jadad评分,4项随机对照试验(RCT)均被评为中等至高质量证据等级。所有RCT的随机化过程、缺少结果数据和报告结果的选择偏倚风险都较低。不过,另外七项是非随机和非对照的研究,或由于研究的观察性设计,证据质量被认为是比较低的。

[1]:偏倚风险和证据质量
小结
这项荟萃分析研究是第一个基于干细胞的再生疗法和衍生产品在COPD患者中的功效分析,证实了基于干细胞的再生疗法和衍生产品对COPD患者有着一定的治疗效果及安全性,尤其是在改善运动功能方面,为使用间充质干细胞治疗COPD的进一步临床研究提供了重要依据。
不过,当前证据皆来自小型临床试验,未来仍然需要大型且设计良好的随机对照试验来真正量化基于干细胞的再生疗法和衍生产品对COPD的有益影响。
参考文献:
[1] Calzetta L, Aiello M, Frizzelli A, et al. Stem Cell-Based Regenerative Therapy and Derived Products in COPD: A Systematic Review and Meta-Analysis. Cells. 2022;11(11):1797. Published 2022 May 30.
链接:https://pubmed.ncbi.nlm.nih.gov/35681492/
相关新闻
博雅新闻
行业政策

在线咨询
留言您的联系方式及需求,专业顾问将于收到资料后尽快与您回复。
我要预约
填写您的预约需求,您将获得相应的专业顾问满足您的需求。
电话咨询
全国统一客服专线400-885-0012,期待为您服务。
微信咨询
直接添加客服微信号,专业顾问随时准备解答您的一切疑问。
在线咨询
服务热线
400-885-0012
官方微信
TOP
观望只会错过守护宝宝和家庭的机会
存储新生儿干细胞
机会一生只有一次
扫码了解细胞新时代