日前,Respiratory Medicine Case Reports杂志报道了一例自体免疫细胞联合贝伐单抗治疗晚期非小细胞肺癌的成功案例。

一例61岁晚期非小细胞肺癌患者,接受了keytruda标准治疗后(PD-L1),仍然出现了新的病变。因此,患者联合自体NK细胞疗法、吉西他滨、贝伐单抗治疗。
经6次自体NK细胞输注联合吉西他滨、贝伐单抗治疗后,患者原发、转移病灶大小明显减小,生活质量明显改善。此外,在联合治疗期间,没有发现副作用,在造血系统、肝脏和肾脏中没有观察到毒性。这个病例表明,这种治疗方案对于PD-L1表达的晚期非小细胞肺癌是一种潜在的治疗方法。
一线治疗和二线治疗后,病情仍然恶化
2019年5月,一名60岁无吸烟史的男性患者,存在咳嗽、背痛和疲劳的症状,被诊断为非小细胞肺癌。非小细胞肺癌(NSCLC)被认为是最常见的癌症形式,肺癌是全世界癌症高死亡率的主要原因之一,也需要高昂的医疗费用进行治疗[1]。
计算机断层扫描(CT)显示原发性肿瘤,左肺上叶25×31 mm,侵犯主动脉周围的纵隔组织(见图1A)。纵隔出现多个淋巴结,最大淋巴结尺寸为5×15mm,右肺上叶显示两个淋巴结尺寸分别为5mm和7mm。由于病变较大且侵犯纵隔,因此无法进行手术。

图1。首次诊断时原发性肿瘤的CT扫描检查(A)。
一线治疗后原发性肿瘤的PET/CT扫描检查(第三周期650mg卡铂(AUC5)加300mg紫杉醇(175mg/m2)联合放疗的3个周期)(B)。[2]
在检查出非小细胞肺癌后,患者接受了标准的keytruda治疗。
从2019年6月到2019年12月,患者接受了第三周期的3个周期的卡铂650mg(AUC5)加紫杉醇300mg(175mg/m2)联合放疗的一线治疗。症状获得了部分缓解,临床症状和副临床症状都有所改善。患者的正电子发射断层扫描(PET)/CT扫描显示原发肿瘤的大小减小(12×7mm)(见图1B),肿瘤标志物值于2019年12月恢复正常。
尽管如此,该疾病在2020年5月继续发展。PET/CT扫描显示原发性肿瘤大小为28×29 mm(见图2A),最大标准化摄取值(SUVmax)11.2,与纵隔胸膜和主动脉粘连。此外,左侧锁骨上淋巴结的大小为9×6mm(见图2B),左侧门中的一些小淋巴结的尺寸小于10mm。

图2。一线治疗一年后病情进展:原发性肿瘤(A),左锁骨上淋巴结(B)。[2]
他检测出PD-L1阳性表达(25%),并被要求接受4个周期的阿利他、卡铂和凯曲达的二线治疗。然而,在2020年9月的PET/CT扫描中,他的病情表现并不稳定。原发性肿瘤增加到26×35mm(图3A)。此外,右锁骨上淋巴结、前纵隔和气管侧的淋巴结以及两侧门部的少量淋巴结也有新的症状。
转变治疗方案:输注自体NK细胞,获得新疗效
由于病情进展,医生给患者制定了新的治疗方案。由标准的keytruda治疗更改为自体NK细胞疗法、吉西他滨、贝伐单抗的联合治疗。
2020年10月,该患者住院接受吉西他滨/阿瓦斯汀联合治疗,通过6次输注传输自体NK细胞。

图3。联合治疗前后的原发性肿瘤。原发性肿瘤在二线治疗后进展(4个周期的阿力玛、卡铂、凯曲达)(A)。联合自体NK细胞治疗、吉西他滨、贝伐单抗(B)、3个月后(C)和6个月后,原发性肿瘤在治疗结束时减少(D)。[2]
自体NK细胞免疫治疗:首先获取了患者的外周静脉血,并分离提取了免疫细胞,并对免疫细胞进行激活和增殖。活性和增殖培养21天后获得的细胞数超过5×10^8个活细胞,其中NK细胞百分比超过60%,所有细胞样本均安全。收集NK细胞后,通过静脉途径将其输入患者体内。
患者在4.5个月内接受6次自体NK细胞输注疗程,每3周一次(图4)。在此期间,患者在第1天、第8天(每3周2个周期)加上阿瓦斯汀(400mg,每3周2个周期)与吉西他滨(1800mg)联合治疗。
联合治疗4.5个月后的结果:当患者进食好转时,干咳和胸痛的症状消失,患者的生活质量显着改善(图5)。在使用联合治疗期间未观察到明显的副作用,并且肝肾功能评估在正常范围内(图6)。
2021年3月和2021年9月进行的PET/CT扫描显示,与联合治疗前相比,原发肿瘤的大小(图3B,3D)显着减少。此外,没有发现两侧的纵隔淋巴结和锁骨上淋巴结。

图4。NK细胞治疗的免疫表型监测。该患者从2020年10月开始接受细胞治疗。患者接受6个疗程(每个疗程1次输注)的NK细胞治疗4.5个月。每3周进行一次输注6次输注。[2]

图5。评估治疗前后患者的生活质量。A、 生活质量:患者总体情况好转,症状急剧下降。B、 功能症状:6次输注后患者的疼痛和咳嗽明显下降。[2]

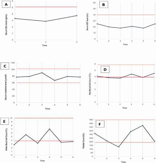
图6。血液生化检查。大多数生化标志物:CEA,AST,肌酐在NK细胞治疗前后维持在正常水平。在治疗期间的某些时候,读取的血细胞,白细胞和血小板略低于正常水平。A、 CEA,B。AST,C。肌酸酐,D。红细胞,E。白细胞,F。血小板。[2]
在治疗的全过程和治疗后对患者进行监测,到目前为止,尚未报告出现任何副作用,例如发烧,发冷,皮疹,高血压/低血压,呕吐/酸痛,腹泻,关节痛或肌肉疼痛。同时,每次治疗后评估的临床指标仍在正常范围内,在造血系统,肝脏和肾脏中未观察到毒性。
此外,在联合治疗前,患者出现钝性胸痛,干咳和食欲不振。然而,治疗后,上述症状消失或显着下降,治疗结束后进行的生活质量评估的评分也显着增加。患者不再出现胸痛,咳嗽症状减轻,食欲增加,整体健康状况得到改善。
联合治疗前后PET/CT扫描结果的差异也证明了患者临床表现的改善。与原始大小相比,原发肿瘤减少了近一半,纵隔消失,锁骨上淋巴结SUVmax显着降低。因此,结合自体NK细胞免疫治疗,吉西他滨和贝伐单抗对该患者的治疗具有十分显著的效果。
小结:近几十年来,免疫学领域以及免疫疗法在癌症治疗中的应用取得了重大进展。在新兴的疗法中,自体NK细胞疗法被认为是癌症治疗的十分有效的方法,特别是肺癌。相信在不久的将来,已发展成为癌症免疫治疗的有力工具的自然杀伤(NK)细胞,将会造福更多的一线或维持治疗中失败的患者。
【参考文献】
[1] Financial toxicity of cancer treatment: moving the discussion from acknowledgement of the problem to identifying solutions
https://www.sciencedirect.com/science/article/pii/S2589537020300134
[2] A case of response to combination treatment with autologous immunotherapy and bevacizumab in advanced non-small cell lung cancer
https://www.sciencedirect.com/science/article/pii/S221300712200226X
本文为知识性科普,仅供学习、交流,请勿用作商业用途。
相关新闻
博雅新闻
行业政策

在线咨询
留言您的联系方式及需求,专业顾问将于收到资料后尽快与您回复。
我要预约
填写您的预约需求,您将获得相应的专业顾问满足您的需求。
电话咨询
全国统一客服专线400-885-0012,期待为您服务。
微信咨询
直接添加客服微信号,专业顾问随时准备解答您的一切疑问。
在线咨询
服务热线
400-885-0012
官方微信
TOP
观望只会错过守护宝宝和家庭的机会
存储新生儿干细胞
机会一生只有一次
扫码了解细胞新时代